网站首页  词典首页

请输入您要查询的字词:

 

字词 非参数密度估计
类别 中英文字词句释义及详细解析
释义 非参数密度估计

在非参数统计模型中,假定总体分布是完全未知,即不能通过有限个参数加以界定,而且分布的泛函形式也是未知,通常可用分布函数或密度来描述其分布。

但当样本为多维时,更方便地是使用密度函数。无论从统计模型的设定、解释或是统计推断,都同估计未知分布密度有关。

密度估计的非参数方法的重要进展,始于Rosenblatt(1956)的工作,而Parzen(1962)的工作则将一项重要的估计方法即核方法系统化。

另一项值得一提的工作,则是Loftsgarden和Quesenberry(1965)完成的。

他们提出了密度估计的另一种方法,即最近邻估计法,然而对最近邻估计的系统研究则是Wagner(1973)、Devroye和Wagner(1977)完成的。至此已形成非参数密度估计的两个主要方法。

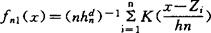
Parzen的核估计是:假设Z1,…,Zn是一组来自未知密度函数f(x)的(d≥1)维样本。设定一个定义在Rd上核函数K(·)[通常假定K(·)也是密度,例如正态密度等]及一串常数hn>0。定义基于Z1,…Zn的以K(·)为核的f(x)的估计为

并称hn为窗宽,它是核估计的主要光滑参数。随后为了理论分析的方便,也有作者将核K的限制放宽,不要求K非负。

最近邻估计则是基于直观观察:在样本Z1,…Zn中,对估计函数值f(x)来说,其作用最大的是“最接近”x的那些样本,具体来说,对给定正整数k=kn(≤n),令an(x)为中心在x的Rd中的球的半径,使该球含Z1,…,Zn中的kn个样本点,记此球的体积为Sn(x),则定义f(x)的最近邻估计为

fn2(x)=kn/nSn(x)

在这段时间,也有人考虑这两种方法的结合,即随机窗宽核估计,见Moore和Yackel(1977)的工作。

到现在为止,文献中出现的非参数密度估计的方法已很多,较为系统的总结可见P.B.Rao(1983)的专著。

其主要成果如下:(1)估计的相合性。Parzen在他的著名工作中得到如下结果,对核K及窗宽的适当限制下,估计量是逐点均方相合及一致相合的,即

而Devroye(1980)则在很一般条件下,得到估计量的一致强相合性(即

对于最近邻估计,Devroye和Wagner(1977)在很弱的假定下,证明了一致强相合性。

(2)收敛速度。Schuster(1976)证明:对导数有界的密度族,核估计有强一致收敛速度

陈希孺(1983)则将此结果改进为,并指出其主要部分的指数已不能再改进。对于最近邻估计,陈希孺(1981)证明:对r阶导数存在的密度族,逐点收敛速度为,而达不到;陈希孺(1983)还对满足Lipshitz条件的密度族,证明了其一致收敛速度为

(3)一致相合的必要条件。这是Schuster(1969)首先提出的一个问题,即对核K及窗宽满足一定条件,由此构造的核估计若一致收敛于某个函数g,问g是否必为总体密度,且g是否必须一致连续?Schuster在对K及hn的一系列假定下,得到了肯定的回答。

陈希孺、成平先后对之作了彻底改进。关于最近邻估计相合的必要条件,其问题的提法同前。

一维(即d=1)的情形是由陈希孺、柴根象得到肯定的回答。(4)L1模相合性。L1模,即∫|fn(x)-f(x)|dx,其中fn或为.fn1或为fn2,也可是任一别的密度估计。它是估计偏差的更为自然的一个整体测度。

其相合性研究对模式识别、判别分析均有重要应用。Devroye(1983)在很为一般假定下证明L1模相合与L1模强相合、均方相合等结果,且给出相合的充要条件。

以上这些成果全在大样本理论方面。事实上由于非参数模型的特点,不可能有太多的深入的小样本结果。

关于后者,在文献中主要是涉及无偏密度估计的存在性。B.P.Rao在其专著中对此也有提及。此外,对于大样本方面的成果即使从面上也有许多重要成果未在此提及的,例如密度导数的估计,陈桂景(1984)有系统的成果。

近几年,密度估计的文章仍在文献中不时出现。

主要是:

(1)Lr模及平均Lr模相合性。其定义分别是mr(fn)=∫|fn(x)-f(x)|rdx及Mr(fn)=E(mr(fn)),r≥1,fn是任一密度估计。考虑,a.s.或成立的充要条件。这是对Devroye(1983)工作的深化。

当fn为核估计时,白志东和赵林城(1987)证明:如K为密度,则充要条件是

以及

当fn为最近邻估计时,必须限定r>1。赵林城(1986)在d=1时,吴跃华(1989)对一般的d,证明:如果

,a.s.

(2)研究随机直方图估计。这是对通常的直方图估计的一个本质改进。

这种估计由J.Chen和H.Rubin(1984)首先加以研究。

他们证明:在一系列复杂条件下,这种估计是L1相合的。

陈希孺、赵林城(1987)则得到L1强相合条件。而且,赵林城、Krishnaish、陈希孺(1987)很快又对此条件作了实质上改进,并建立了一般的Lr模相合性。

(3)研究密度估计的实施问题,其中特别是对核估计,研究有关参量的实际选择,引出了许多较为实用的方法。B.W.Silverman(1986)的专著“Density estimation for statistics and Data-analysis”对此有较详细的介绍,并且也提出了尚未解决的问题。

除了以上提到的3个主要发展方向外,还有一些研究新的估计方法的工作。另外密度估计的应用的研究也是一个重要趋势。

。【参考文献】:

1 Rosenblatt M. Ann Math Statist, 1956,27:832~837

2 Parzen E. Ann Math statise, 1962,33:1065~1076

3 Loftsgarden D O, et al. Ann Math Statist, 1965,36:1049~ 1051

4 Devroye L P. Ann statist,1977,5:536~540

5 Schuster EF. Ann Math statist, 1969,40:1187~1195

6 陈希孺.中国科学,1982,25:455~467

7 陈希孺.系统科学与数学,1983,3:263~272

8 Rao B.P.Nonparametric functional estimation,Academic press,1983

9 赵林城.应用概率与统计,1987,3:46~50

(同济大学柴根象教授撰)

上一篇:概率度量空间上的非线性分析
下一篇:现代科技综述大辞典上目录
"非参数模型非参数模型

信号检测论模型的一种。

用于测量感觉辨别力和反应偏向。即用接受者操作特征曲线(ROC)(如图)下的面积值来表达感觉辨别力(A′)和反应偏向(B″)。其中A′=0.5+[(H-FA)(1+HFA)]/[4H(1-FA)],(H代表击中概率,FA代表虚报概率)。

A′的值在0~1之间波动,A′=0.5表示无辨别力。

B′H或B″表示反应偏向,B′H=1-[H(1-H)]/[FA(1-FA)];B″=[H(1-H)-FA(1-FA)]/[H(1-H)+FA(1-FA)]。B′H和B″均在-1~+1之间变化,0表示无反应偏向,正值表示标准宽松,负值表示标准严格。

应指出的是,A′与d′有高相关,且被广泛用于信号检测的研究。

随便看

 

文网收录3541549条中英文词条,其功能与新华字典、现代汉语词典、牛津高阶英汉词典等各类中英文词典类似,基本涵盖了全部常用中英文字词句的读音、释义及用法,是语言学习和写作的有利工具。

 

Copyright © 2004-2024 Ctoth.com All Rights Reserved
京ICP备2021023879号 更新时间:2025/11/27 19:57:05