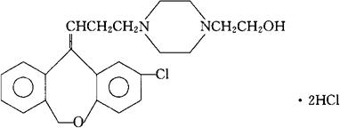
盐酸哌氧平
C23H27ClN2O2·2HCl=471.85 CAS-14008-46-9 CAS-14008-66-3(pinoxepin) (Z)-4-[3-(2-氯二苯并[b,c]氧杂 -11(6H)-亚基)丙基]-1-哌嗪乙醇二盐酸盐。 (Z)-4-[3-(2-Chlorodibenz[b,e]oxepin-11(6H)-ylidene)propyl]-1-piperazineethanol,dihydrochloride. 安定药。 Pinoxepin Hydrochloride,P5227. INN,USAN. 
|