网站首页  词典首页

请输入您要查询的字词:

 

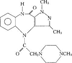
字词 唑仑西平
类别 中英文字词句释义及详细解析
释义 唑仑西平

C19H24N6O2=368.44

CAS-78208-13-6

4,9-二氢-1,3-二甲基-4-[(4-甲基-1-哌嗪基)乙酰]吡唑并[4,3-b][1,5]苯并二氮杂-10(1H)-酮。

4,9-Dihydro-1,3-dimethyl-4-[(4-methyl-1-piperazjnyl)acetyl]pyrazolo[4,3-b][1,5]benzodizaepin-10(1H)-one.

抗溃疡病药。

Zolenzepine.

INN,USAN.

随便看

 

文网收录3541549条中英文词条,其功能与新华字典、现代汉语词典、牛津高阶英汉词典等各类中英文词典类似,基本涵盖了全部常用中英文字词句的读音、释义及用法,是语言学习和写作的有利工具。

 

Copyright © 2004-2024 Ctoth.com All Rights Reserved
京ICP备2021023879号 更新时间:2025/12/17 18:28:03