网站首页  词典首页

请输入您要查询的字词:

 

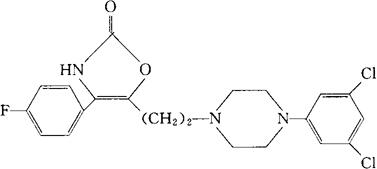
字词 氯地哌隆
类别 中英文字词句释义及详细解析
释义 氯地哌隆

C21H20Cl2FN3O2=436.31

CAS-72444-63-4

5-[2-[4-(3,5-二氯苯基)-1-哌嗪基]乙基]-4-(对-氟苯基)-4-噁唑啉-2-酮。

5-[2-[4-(3,5-Dichlorophenyl)-1-piperazinyl]ethyl]-4-(p-fluorophenyl)-4-oxazolin-2-one.

抗精神病药。

Lodiperone.

INN,USAN.

随便看

 

文网收录3541549条中英文词条,其功能与新华字典、现代汉语词典、牛津高阶英汉词典等各类中英文词典类似,基本涵盖了全部常用中英文字词句的读音、释义及用法,是语言学习和写作的有利工具。

 

Copyright © 2004-2024 Ctoth.com All Rights Reserved
京ICP备2021023879号 更新时间:2025/12/16 10:42:00