网站首页  词典首页

请输入您要查询的字词:

 

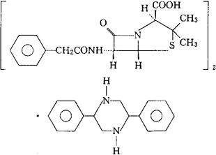
字词 苯拉西林
类别 中英文字词句释义及详细解析
释义 苯拉西林

(C16H18N2O4S)·C16H18N2=907.11

CAS-7009-88-3

苄基青霉素2,5-二苯基哌嗪盐。

2,5-Diphenylpiperazine salt of benzylpenicillin.

抗生素类药。

Phenyracillin.

INN,DCF,DCIT,USAN.

随便看

 

文网收录3541549条中英文词条,其功能与新华字典、现代汉语词典、牛津高阶英汉词典等各类中英文词典类似,基本涵盖了全部常用中英文字词句的读音、释义及用法,是语言学习和写作的有利工具。

 

Copyright © 2004-2024 Ctoth.com All Rights Reserved
京ICP备2021023879号 更新时间:2026/2/17 13:41:14