网站首页  词典首页

请输入您要查询的字词:

 

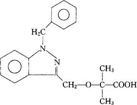
字词 宾达利
类别 中英文字词句释义及详细解析
释义 宾达利

C19H20N2O3=324.38

CAS-13064-38-2

2-[(1-苄基-1H-吲唑-3-基)甲氧基]-2-甲基丙酸。

2-[(l-Benzyl-1H-indazol-3-yl)methoxy]-2-methylpropionic acid.

抗关节炎药。

Bindarit.

INN,USAN.

随便看

 

文网收录3541549条中英文词条,其功能与新华字典、现代汉语词典、牛津高阶英汉词典等各类中英文词典类似,基本涵盖了全部常用中英文字词句的读音、释义及用法,是语言学习和写作的有利工具。

 

Copyright © 2004-2024 Ctoth.com All Rights Reserved
京ICP备2021023879号 更新时间:2025/12/15 13:10:57