网站首页  词典首页

请输入您要查询的字词:

 

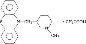
字词 醋酸美帕嗪
类别 中英文字词句释义及详细解析
释义 醋酸美帕嗪

C19H22N2S·C2H4O2=370.51

CAS-24360-97-2

CAS-60-89-9(mepazine)

10-[(1-甲基3哌啶基)甲基]吩噻嗪。

10-[(1-Methyl-3-piperidyl)methyl]phenothiazine.

安定药。

Mepazine Acetate.

INN & BAN(Pecazine),USAN.

随便看

 

文网收录3541549条中英文词条,其功能与新华字典、现代汉语词典、牛津高阶英汉词典等各类中英文词典类似,基本涵盖了全部常用中英文字词句的读音、释义及用法,是语言学习和写作的有利工具。

 

Copyright © 2004-2024 Ctoth.com All Rights Reserved
京ICP备2021023879号 更新时间:2025/11/26 11:57:12