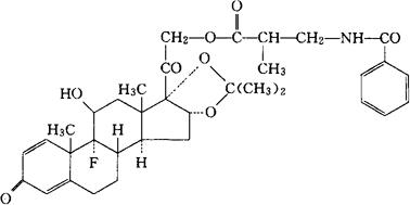
苯曲安奈德
C35H42FNO8=623.72 CAS-31002-79-6 9-氟-11β,16α-17,21-四羟孕甾-1,4-二烯-3,20-二酮与丙酮复合成环16,17-乙缩醛与N-苯甲酰-2-甲基-β-丙氨酸生成21-酯。 9-Fluoro-11β,16α-17,21-tetrahydroxypregna-1,4-diene-3,20-dione cyclic 16,17-acetal with acetone21-ester with N-benzoyl-2-methyl-β-alanine. 肾上腺皮质激素类药,消炎药。 Triamcinolone Benetonide,Alcorten,Benecorten. INN,USAN,MI. 
|