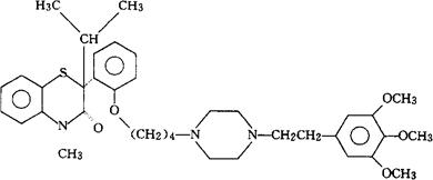
异丙硫氮
C37H49N3O5S=647.87 CAS-105118-13-6 (+)-(R)-2-异丙基-4-甲基-2-[邻-[4-[4-(3,4,5-三甲氧苯乙基)-1-哌嗪基]丁氧]苯基]-2H-1,4-苯并噻嗪-3(4H)-酮。 (+)-(R)-2-Isopropyl-4-methyl-2-[o-[4-[4-(3,4,5-trimethoxyphenethyl)-1-piperazinyl]butoxy]phenyl]-2H-1,4-benzothiazin-3(4H)-one. 钙通道阻滞药。 Iprotiazem. INN,USAN. 
|