网站首页  词典首页

请输入您要查询的字词:

 

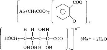
字词 葡柳铝酸钠
类别 中英文字词句释义及详细解析
释义 葡柳铝酸钠

C42H54Al2Na8O38·2H2O=1440.78

CAS-12214-50-5

双(醋酸基)四葡糖酸基(2-)双水杨酸基(2-)-二铝酸钠二水化合物。

Sodium bis(acetato)tetrakis gluconato(2-)bis[salicylato(2-)]-dialuminate dihydrate.

制酸药,消炎镇痛药。

Sodium Glucaspaldrate.

INN,BAN,USAN.

随便看

 

文网收录3541549条中英文词条,其功能与新华字典、现代汉语词典、牛津高阶英汉词典等各类中英文词典类似,基本涵盖了全部常用中英文字词句的读音、释义及用法,是语言学习和写作的有利工具。

 

Copyright © 2004-2024 Ctoth.com All Rights Reserved
京ICP备2021023879号 更新时间:2025/11/19 15:31:47