网站首页  词典首页

请输入您要查询的字词:

 

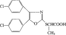
字词 硫噁洛芬
类别 中英文字词句释义及详细解析
释义 硫噁洛芬

C18H13Cl2NO3S=394.27

CAS-40198-53-6

2-[[4,5-双(对-氯苯基)-2-唑基]硫代]丙酸。

2-[[4,5-bis(p-Chlorophenyl)-2-oxazolyl]thio]propionic acid.

Tioxaprofen.

INN,BAN,USAN.

随便看

 

文网收录3541549条中英文词条,其功能与新华字典、现代汉语词典、牛津高阶英汉词典等各类中英文词典类似,基本涵盖了全部常用中英文字词句的读音、释义及用法,是语言学习和写作的有利工具。

 

Copyright © 2004-2024 Ctoth.com All Rights Reserved
京ICP备2021023879号 更新时间:2025/12/18 16:42:38