网站首页  词典首页

请输入您要查询的字词:

 

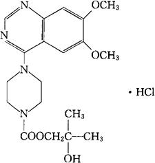
字词 盐酸胡喹嗪
类别 中英文字词句释义及详细解析
释义 盐酸胡喹嗪

C19H26N4O5·HCl=426.90

CAS-23256-28-2

4-(6,7-二甲氧基-4-喹唑啉基)-1-哌嗪羧酸2-羟基-2-甲基丙酯盐酸盐。

2-Hydroxy-2-methylpropyl 4-(6,7-dimethoxy-4-quinazolinyl)-1-piperazinecarboxylate hydrochloride.

支气管扩张药。

Hoquizil Hydrochlozide,CP-14,185-1.

USAN.

随便看

 

文网收录3541549条中英文词条,其功能与新华字典、现代汉语词典、牛津高阶英汉词典等各类中英文词典类似,基本涵盖了全部常用中英文字词句的读音、释义及用法,是语言学习和写作的有利工具。

 

Copyright © 2004-2024 Ctoth.com All Rights Reserved
京ICP备2021023879号 更新时间:2026/5/17 15:21:22