网站首页  词典首页

请输入您要查询的字词:

 

字词 特西哌嗪
类别 中英文字词句释义及详细解析
释义 特西哌嗪

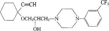
C22H29F3N2O2=410.48

CAS-56693-15-3

(±)-α-[[(1-乙炔环己基)氧]甲基]-4-(α,α,α-三氟-间-甲苯基)-1-哌嗪乙醇。

(±)-α-[[(1-Ethynylcyclohexyl)oxy]methyl]-4-(α,α,α-trifluoro-m-tolyl)-1-piperazineethanol.

抗高血压药。

Terciprazine,CERM 3519.

INN,USAN.

随便看

 

文网收录3541549条中英文词条,其功能与新华字典、现代汉语词典、牛津高阶英汉词典等各类中英文词典类似,基本涵盖了全部常用中英文字词句的读音、释义及用法,是语言学习和写作的有利工具。

 

Copyright © 2004-2024 Ctoth.com All Rights Reserved
京ICP备2021023879号 更新时间:2025/12/14 11:20:57