网站首页  词典首页

请输入您要查询的字词:

 

字词 太阳集和最佳逼近的特征
类别 中英文字词句释义及详细解析
释义 太阳集和最佳逼近的特征

设E是赋范线性空间,,令

1961年,Garkavi对凸集M,给出刻划m0∈PMx的Kolmogorov型特征定理:

M凸:满足‖f‖=1,f(x-m0)=‖x-m0‖,Ref(m-m0)≤0。

对于非凸集,上述Kolmogorov型特征定理能否成立?要使Kolmogorov型特征定理成立,M应满足怎样的充要条件?

为讨论最佳逼近的唯一性,1958年Efimov和Stechkin引入太阳集的概念如下:,m∈PMxt,其中xt=m+t(x-m)。1969年Brosowski证得:

定理B下列条件等价:(1)M是太阳集;(2),m0∈M有:满足‖f‖=1,f(x-m0)=‖x-m0‖,Ref(m-m0)≤0。

关于太阳集,有下述结论:(1)1.M是太阳集等价于E,m0∈M,,有m0∈P[m0,m]x,其中[m0,m]={mλ;mλ=m0+λ(m-m0),λ∈[0,1]};(2)M是太阳集,m0是M对x的局部最佳逼近;(3)M是光滑空间E中的存在性太阳集凸;(4)M是严格凸空间E中的存在性太阳集是Chebyshev集;(5)设X紧,E为实C(X),M是C(X)中太阳集等价于下列条件之一;(i)M对x的局部最佳逼近必为最佳逼近,(ii)M有闭符号性质:,m1∈M,及满足(x)-m0(x)|>0的闭集,则m0属于{m;m∈M,[m(x)-m0(x)][m1(x)-m0(x)]>0,x∈A}的闭包。

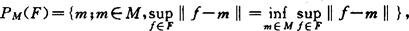
将最佳逼近的目标由单元x换成E中有界集F,即为最佳同时逼近问题,令

m0∈PM(F)称为M对F的最佳同时逼近。

对M是凸集的情形,1982年Freilich和Mclaughlin证得Kolmogorov型特征定理:

定理F-M M凸,,存在L∈extk满足。其中符号意义如下:

,对E*中闭单位球B*,赋以σ(B*,G)拓扑:

K取B*的子集,满足:(1)K是σ(K,G)紧集;(2),m∈M,有为K上函数,定义如下:

其中U(L)为L的邻域全体。

Freilich和Mclaughlin只对实空间E加以证明,复空间E的证明类似。

我们举出反例,指出定理F-M中L∈extK是错误的,应改正为L∈K.进一步,对于非凸集,我们于1987年得到

定理X-L 下列条件等价:

(1)M是同时太阳集:有界集F及m0∈M,有,m0∈PM(Ft),其中

Ft={fi;fi=m0+t(f-m0),f∈F}

(2)有界集F,,存在L∈K,满足,ReL(m-m0)≤0。

再讨论M对{fi}的P阶联合最佳逼近问题,设P≥1,数列{λi}满足λi≥0,,对任何满足的E中序列{fi},求m∈M,使最小。

在讨论中,我们固定{λi},并令

并引入P阶联合太阳集的概念如下:,其中fi,t=m0+t(fi-m0)。

对P阶联合最佳逼近我们证得Kolmogorov型特征定理。

定理X P≥1,下列论断等价:

(1)M是E中P阶联合太阳集。

(2)满足

其中Mfi-m0={ψ;ψ∈E*‖ψ‖=1,ψ(fi-m0)=‖fi-m0‖}

(3)满足

其中ε(Mfi-m0)表示Mfi-m0的端点全体。

最后,讨论更一般的非线性优化问题,设E为线性拓扑空间,,ψ(x)为E上连续凸泛函,讨论优化问题:。记

并引入ψ太阳概念如下:记,若由m0∈PM(ψ)可推出m0PCm0(M)(ψ),则称M为ψ太阳。

可证得:

定理X 设E为线性拓扑空间,ψ(x)是E上连续凸泛函,M,m0∈M,则下列条件等价:

(1)M是ψ太阳

(2)满足

Ref(m-m0)≥0,其中

(3)满足

Ref(m-m0)≥0。

从特殊的优化:到一般非线性优化,最优解的特征的研究已有局部展开,对ψ(m)不凸、不光滑的情形,结果较少,今后可望得到进展。

ψ(m)从数值到向量值,从数值优化到多目标优化也是优化问题研究深化的重大一步,对非线性多目标优化问题的研究目前局限于有限维,对于一般情形,各种意义下的最优解的特征刻划是今后值得研究的课题。

【参考文献】:

1 EfimovN V.StechkinSB. D A N SSSR, 1958;118:17~19

2 Garkavi A L. Uspekhi Mat Nauk ,1961)16(4) :141~145

3 Brosowski B. Abstract spaces and approximation. ISNA 10 Birkhauser Verlag, 1969,140~159

4 Freilich J H, Mclaughlin H W. J A T, 1982,34:146~158

5 徐士英,等.数学学报,1987,30(4)∶528~535

(浙江师范大学徐士英教授撰)

上一篇:函数论中的极端点和支撑点理论
下一篇:现代科技综述大辞典上目录
"太阳祭太阳祭

墨西哥祭太阳神的节日。

墨西哥印第安人崇拜太阳神,把它视为世界万物的主宰。每年6月24日,举行盛大、隆重的“太阳祭”,祈求太阳神赐福人间。在节日里,人们用玉米酒供奉太阳神。供奉太阳神的美女,身穿艳丽的“维比尔”裙衣,绣上火红的太阳和银白的月亮。

头戴羽的鹰勇士和披虎皮的虎勇士,手持盾牌,盾牌四周饰有兽毛流苏,盾牌的正面绘有太阳、月亮、星星、流水、云彩等图象,犹如一幅形象万千、色彩斑斓的图画。

随便看

 

文网收录3541549条中英文词条,其功能与新华字典、现代汉语词典、牛津高阶英汉词典等各类中英文词典类似,基本涵盖了全部常用中英文字词句的读音、释义及用法,是语言学习和写作的有利工具。

 

Copyright © 2004-2024 Ctoth.com All Rights Reserved
京ICP备2021023879号 更新时间:2025/12/16 20:31:11