网站首页  词典首页

请输入您要查询的字词:

 

字词 氯非宗
类别 中英文字词句释义及详细解析
释义 氯非宗

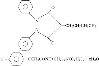
C14H21ClN2O2·C19H20N2O2·2H2O=629.20

CAS-60104-29-2

氯非沙胺与保泰松等分子的复合物。

Equimolar combination of clofexamide andphenylbutazone.

消炎镇痛药。

Clofezone,ANP 3260.

INN,DCF,USAN.

随便看

 

文网收录3541549条中英文词条,其功能与新华字典、现代汉语词典、牛津高阶英汉词典等各类中英文词典类似,基本涵盖了全部常用中英文字词句的读音、释义及用法,是语言学习和写作的有利工具。

 

Copyright © 2004-2024 Ctoth.com All Rights Reserved
京ICP备2021023879号 更新时间:2025/12/16 19:31:51