网站首页  词典首页

请输入您要查询的字词:

 

字词 氧哌达嗪
类别 中英文字词句释义及详细解析
释义 氧哌达嗪

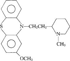
C21H26N2OS=354.51

CAS-14759-04-7

2-甲氧-10-[2-(1-甲基-2-哌啶基)乙基]吩噻嗪。

2-Methoxy-10-[2-(1-methyl-2-piperidyl)ethyl]phenothiazine.

安定药,神经镇静药。

Oxyridazine,KS 33.

INN,USAN.

随便看

 

文网收录3541549条中英文词条,其功能与新华字典、现代汉语词典、牛津高阶英汉词典等各类中英文词典类似,基本涵盖了全部常用中英文字词句的读音、释义及用法,是语言学习和写作的有利工具。

 

Copyright © 2004-2024 Ctoth.com All Rights Reserved
京ICP备2021023879号 更新时间:2025/12/15 17:51:37