网站首页  词典首页

请输入您要查询的字词:

 

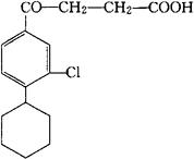
字词 布氯酸
类别 中英文字词句释义及详细解析
释义 布氯酸

C16H19ClO3=294.78

CAS-32808-51-8

3-(3-氯-4-环己基苯甲酰基)丙酸。

3-(3-Chloro-4-cyclohexylbenzoyl)propionic acid,

消炎镇痛药。

Bucloxic Acid,CB 804.

INN,DCF,USAN,MI.

随便看

 

文网收录3541549条中英文词条,其功能与新华字典、现代汉语词典、牛津高阶英汉词典等各类中英文词典类似,基本涵盖了全部常用中英文字词句的读音、释义及用法,是语言学习和写作的有利工具。

 

Copyright © 2004-2024 Ctoth.com All Rights Reserved
京ICP备2021023879号 更新时间:2025/12/10 15:26:45