网站首页  词典首页

请输入您要查询的字词:

 

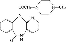
字词 哌仑西平
类别 中英文字词句释义及详细解析
释义 哌仑西平

C19H21N5O2=351.41

CAS-28797-61-7

5,11-二氢-11-[(4-甲基-1-哌嗪基)乙酰]-6H-吡啶并[2,3-b][1,4]苯并二氮杂-6-酮。

5,11-Dihydro-11-[(4-methyl-1-piperazinyl)acetyl]-6H-pyrido[2,3-b][1,4]benzodiazepin-6-one.

抗酸药。

Bisvanil,Pirenzepine.

INN,BAN,DCF,DCIT,JAN,NFN,USAN,MI.

随便看

 

文网收录3541549条中英文词条,其功能与新华字典、现代汉语词典、牛津高阶英汉词典等各类中英文词典类似,基本涵盖了全部常用中英文字词句的读音、释义及用法,是语言学习和写作的有利工具。

 

Copyright © 2004-2024 Ctoth.com All Rights Reserved
京ICP备2021023879号 更新时间:2025/11/20 18:30:09