网站首页  词典首页

请输入您要查询的字词:

 

字词 受限共轴射流
类别 中英文字词句释义及详细解析
释义 受限共轴射流

是一类具有重要性的湍流剪切流,它们发生在许多工程设备中。

例如:工业广泛应用的射流泵,通过射流(主流)的高速引射,使被引射的低速或静止的流体(副流)吸入,并与主流混合;各种工业燃烧设备中的燃烧室,其燃料和氧化剂常通过引射作用被吸入,在受限共轴射流的混合过程中,所形成的回流区对加强混合和火焰的稳定性有重要作用;飞机和船舶的引射器装置,它们利用高速气(液)流的动量传递给被引射吸入的副流,可获得推力的增加和噪音的降低等等。近年来,由于在高能化学激光器中的应用,为受限共轴射流的研究提供了进一步的推动力。

从工业流体力学角度,受限共轴射流的流动类型,可分不可压缩的引射流,亚声速气体引射流,超声速一亚声速气体引射流,超声速一超声速气体引射流,以及二相(气-固、气-液)引射流等等,并可考虑2种物质具有化学反应的混合。

自20世纪40年代以来,对引射流进行了大量的理论分析和试验研究。Porter和Squyers(1981)所收集的有关引射系统理论和性能方面的论文,已达1600篇以上。大多数早期的理论研究,都基于一维或准一维的流动分析,其具有代表性的工作可见J.H.Keenan等的论文(1950),J.Fabri等的一篇评述(1958),以及L.Crocco的专著(1958)。

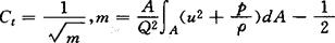
不可压缩受限共轴射流,在管内的混合过程包含一些有特殊意义的流动区域:即射流核心区,相似速度分布区,受限壁面的边界层发展区,以及可能的分离区,特别是两股射流交界的剪切层的发展区,其流动结构更复杂。Craya和Curtet(1955)曾提出一种近似理论,并定义一个被称为Craya-Curtet数Ct:

式中m是无量纲动量通量,Q为流量,A为混合管面积,u为管截面上轴向速度,p为静压,ρ为流体密度。

当引射流直径d0远小于混合管直径D0,及引射流速UJ远大于被引射流速度Ua时,Ct还可近似地表示为

对等截面混合管,试验证明当Ct≤0.96(也有人建议Ct<0.85)时,在混合管内便有流动分离区存在。

Barchilon和Curtet(1964)发表的论文用平均流方法测量受限共轴射流的平均速度、壁面静压和分离区大小的一些结果具有代表性。Razansky和Brightin(1971)利用热线风速仪和Suzuki等(1983)利用激光流速仪作出有更全面的试验研究。自80年代以来,用N-S方程对受限共轴射流已开展一些数值计算的研究,如Khodadi和Vlachos(1989)、ZHU和Rodi(1992)等,他们分别用SIMPLE算法和QUICK算法,以及k-ε二方程湍流模型,都能获得与试验值相近似的结果。

可压缩气体受限共轴射流,在管内混合过程除与不可压缩流体受限共轴射流有相类似的流动区域外,对超声速引射流,在混合管内还将发生激波与边界层相互作用的一个十分复杂的流动区域。超声速引射器的混合能量损失要远大于亚音速和不可压缩引射器的混合损失。影响可压缩气体引射器性能的参数甚多:气体的比热比、分子量、滞止压力、滞止温度、质量流量、喷管截面积、混合管面积、混合管长度和背压,混合管进口处气流各自马赫数,以及混合后的混合气体的状态参数和混合气流马赫数等等。

Dutton、Mikkelsen和Addy等(1982)利用一维流理论已能较好地计算出引射器设计计算有关问题。

在此基础上,引射器的优化设计更受重视,Dutton和Carrol(1986)的论文对此问题有所阐述。实际优化问题常常是在给出主副流气体比热比、分子量和滞止温度等参数的条件下,要求选择引射器几何尺寸,使它具有最好的运行性能。优化的目标函数可以是求解获得最大的引射混合后静压,或满足所有条件下的引射气体的总压为最小,或得到被引射气体的质量流量为最大,或所需引射气体的质量流量为最小。由于可压缩气体引射器性能的影响因素多,引射器工作时敏感性分析已成为实际需要,Wacholder和Dayan(1984)首先展开了这一问题的研究。本文作者对氧气和燃气混合的引射系统优化设计及引射器运作过程中诸参数敏感性分析,已研制成计算软件(1993),这种计算软件,对引射系统设计和运行操作有重要指导作用,是任何凭经验的设计师所无法替代的。鉴于一维流理论分析的局限性,它不能确定共轴射流在混合管内混合发展过程,从设计观点也就不能正确地从理论上确定混合管所必需的长度,解决这些问题都必需进一步开展对混合过程三维流的计算。这方面的研究工作近年来正方兴未艾,Drummond等(1986,1987)、Boretti(1989)和Eklund等(1990)的论文,可作进一步研究的开端。

受限共轴二相射流在工业上也有广泛的应用,如设计和改进煤粉燃烧室的性能和品质,就需要研究引射的煤粉粒主流与被引射的空气副流在混合过程中相互作用,即煤粒相粒子扩散和射流所挟带的空气扩散分布,它们与粒子大小、粒子载荷比、两相流速度比的关系。

Hedman和Smoot(1975),Leavitt(1980)及浙江大学的Fan等(1992)进行了试验研究,已获得一些有规律的结论。最近,受限共轴二相射流的数值模拟计算的研究工作,越来越受到重视,但它尚处于初期发展阶段。

综上所述,受限共轴射流研究,不论在理论和应用方面,都有很大的继续发展的余地。

根据工业流体力学应用和发展的需要,当前本课题研究的热点有:(1)对工业应用的各类引射器,开展优化设计及敏感性运行程序的研制,以提高引射器的工作效率;(2)在工业设备的运行操作中,设计和推广各类引射器的可能应用,可获得显著的经济效益;(3)正在努力解决受限共轴射流数值计算中的一些难题,如湍流模式、有效的差分格式、多相流模拟方法等等,并研制成计算软件,以便实际推广应用;(4)进一步试验受限共轴射流中的流场动力学和剪切层涡结构的规律,揭示其内部流动机理,将有助于湍流模型的建立和所开展的降低噪音的研究,并提高工业流体力学水平。

这些研究工作,相辅相成,互相促进,可预料在今后的实践中将会更好地解决所提出的一些问题,并还会不断开拓其应用范围,进一步丰富和扩大研究的内容。

。【参考文献】:

1 Keenan J H.Neumann E P,Lustwerk F. Journal of Applied Mechanics, 1950,17(9) :299~309

2 Fabri J,Siestrunck R. Advances in Applied Mechanics, New York: Academic Press, 1958,5:1~34

3 Crocco L.Fundamentals of Gas Dynamics,Princeton University Press,1958,3∶272~293(中译本:定常气体动力学的一维处理法.北京:科学出版社,1985)

4 Porter J L.Squyers R A. ATC Report NO. R-91100/9CR - 47A,Texas: Vought Corporation Advanced Technology Center, 1981

3 Dutton J C,Mikkelsen C D,Addy AL. AIAA. J. 1982,20 (10):1392~1400

6 Launder B E,Rodi W. Ann Rev Fluid Mech, 1983:429~ 459

7 Englar R J,Huson G G. Journal of Aircraft, 1984,21(7): 473~483

8 Hisashi Matsuda, Sei -Ichi lida.Michio Hayakawa. Journal of Fluid Engineering, 1990,112(4):462~467

9 王献孚,黄锦文,潘卫明.水动力学研究与进展,1992(A7),7(1)136~41

(武汉交通科技大学王献孚教授撰)

上一篇:换热器流体结构动力学及异型压力容器
下一篇:现代科技综述大辞典上目录
"受限制的帕累托最优受限制的帕累托最优

信息经济学认为,信息不对称常常导致市场均衡偏离帕累托最优。

因此,一个拥有所有经济当事人个人信息的中央权威机构可以对经济中的当事人进行利益调整,以获得帕累托改进。但在实际当中,一个中央权威机构也许不能比市场参与者观察到更多的当事人个人信息。由于没有这些信息,中央权威机构在试图进行帕累托改进的过程中将面临额外的限制。

例如,重新安排不同类型的工人是不可能的,因为中央权威机构不能直接观察到工人的类型。这种由于中央权威机构不能观察当事人的个人信息而导致不能进行帕累托改进的配置状态被称为受限制的帕累托最优,或帕累托次优。由于在不能观察当事人类型的条件下进行帕累托改进是十分困难的,受限制的帕累托最优不一定是完全的帕累托最优,但完全的帕累托最优一定是受限制的帕累托最优。

随便看

 

文网收录3541549条中英文词条,其功能与新华字典、现代汉语词典、牛津高阶英汉词典等各类中英文词典类似,基本涵盖了全部常用中英文字词句的读音、释义及用法,是语言学习和写作的有利工具。

 

Copyright © 2004-2024 Ctoth.com All Rights Reserved
京ICP备2021023879号 更新时间:2026/5/17 20:43:02