网站首页  词典首页

请输入您要查询的字词:

 

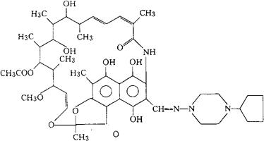
字词 利福喷丁
类别 中英文字词句释义及详细解析
释义 利福喷丁

C47H64N4O12=877.04

CAS-61379-65-5

3-[N-(4-环戊基-1-哌嗪基)亚氨甲基]利福霉素。

3-[N-(4-Cyclopentyl-1-piperazinyl)formimidoyl]rifamycin.

抗生素类药。

Rifapentine.

INN,BAN,DCIT,USAN.

随便看

 

文网收录3541549条中英文词条,其功能与新华字典、现代汉语词典、牛津高阶英汉词典等各类中英文词典类似,基本涵盖了全部常用中英文字词句的读音、释义及用法,是语言学习和写作的有利工具。

 

Copyright © 2004-2024 Ctoth.com All Rights Reserved
京ICP备2021023879号 更新时间:2025/12/16 19:47:57